Sessions and Graphs

Veeksha models LLM interactions as sessions containing requests organized in a directed acyclic graph (DAG). This design captures the dependency structure of multi-turn conversations.

The session model

A Session represents a complete user conversation or agentic workflow and contains:

  • A unique session ID

  • A SessionGraph defining the structure of requests

  • A dictionary of Request objects keyed by node ID

@dataclass
class Session:
    id: int
    session_graph: SessionGraph
    requests: Dict[int, Request]  # node_id -> Request

A Request represents a single interaction (prompt + expected response):

@dataclass
class Request:
    id: int                                    # Unique global request ID
    channels: Dict[ChannelModality, Content]   # Content per modality
    session_context: Dict[str, Any]            # Graph metadata

Session graphs as DAGs

The SessionGraph models request dependencies using nodes and directed edges:

Annotated Linear Session

Each SessionNode contains:

  • id: Node identifier within the session

  • wait_after_ready: Delay (in seconds) after dependencies are satisfied

Each SessionEdge contains:

  • src, dst: Source and destination node IDs

  • is_history_parent: Whether parent’s output should be included in context

A branching session might look like this:

Annotated Non-linear Session

That is, each node has an independent wait_after_ready value and, if enabled, inherits history from one of its parents. Only after all its parents are finished can a request be considered for dispatch. Next, we talk more about these concepts.

Linear sessions

The most common pattern is a linear session representing a typical back-and-forth conversation:

session_generator:
  type: synthetic
  session_graph:
    type: linear
    num_request_generator:
      type: uniform
      min: 2
      max: 6
    request_wait_generator:
      type: poisson
      arrival_rate: 1.0
    inherit_history: true

Configuration options:

num_request_generator

Controls how many turns (requests) each session contains. Supports distributions: fixed, uniform, zipf, stair.

request_wait_generator

Controls the “think time” between turns-how long after one request completes before the next is dispatched. Supports: fixed, poisson, gamma.

inherit_history

If true, each request includes the conversation history from its parent node(s), simulating chat context accumulation.

History inheritance

When inherit_history: true, the traffic scheduler populates each request’s history based on edges marked as is_history_parent:

Turn 0: "What is Python?"
    ↓ (history edge)
Turn 1: "What is Python?" → "Python is..." + "Tell me more"
    ↓ (history edge)
Turn 2: [full history] + "Give me an example"

The history is recorded when a request completes and includes:

  • The request content (prompt)

  • The response content (model output)

  • Timing information

This accurately models how LLM chat APIs accumulate conversation context.

Single-request sessions

For scenarios where you need independent requests without any conversation dependencies, use the single_request graph type:

session_generator:
  type: synthetic
  session_graph:
    type: single_request

This creates sessions with exactly one node and no edges-ideal for:

  • Isolated API calls

  • Batch processing scenarios

  • Simple request/response workloads without multi-turn context

Note how you can still make session root requests share a percentage of prefix by adjusting the channel configuration.

Branching sessions

For complex workflows with parallel paths and dependencies, use the branching graph type:

session_generator:
  type: synthetic
  session_graph:
    type: branching
    num_layers_generator:
      type: fixed
      value: 4
    layer_width_generator:
      type: uniform
      min: 2
      max: 3
    fan_out_generator:
      type: fixed
      value: 2
    fan_in_generator:
      type: fixed
      value: 1
    single_root: true
    inherit_history: true

Configuration options:

num_layers_generator

Controls the depth (number of layers) in the graph.

layer_width

Controls how many nodes per layer. Sampled independently for each layer.

fan_out_generator

Number of forward connections from each node.

fan_in_generator

Minimum incoming edges per node (ensures connectivity).

connection_dist_generator

(Advanced) Forward skip distance. Default is 1 (next layer only). Set higher to allow skip connections across layers.

request_wait_generator

Controls the “think time” between turns.

single_root

If true, forces layer 0 to have exactly one node.

inherit_history

When enabled, exactly one parent per node is selected as the history provider. This ensures a clean, linear history context even in complex graphs.

This models scenarios like:

  • Parallel tool calls

  • A/B testing different conversation paths

  • Multi-agent interactions

  • Scatter-gather workflows

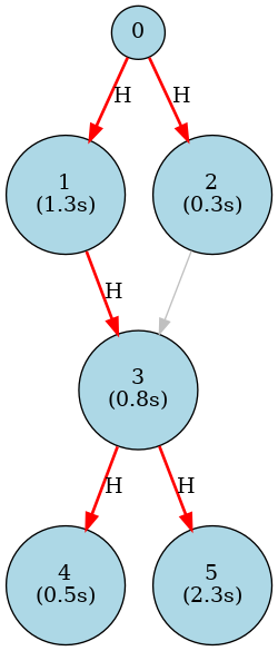
Following are two real examples of branching session generated by the branching generator. First, a simpler diamond pattern:

Branching session graph.

Where H indicates the history parent node, and (n seconds) indicates the wait_after_ready value. It was generated with the following configuration:

session_generator:
  type: synthetic
  session_graph:
    type: branching
    num_layers_generator:
      type: fixed
      value: 4
    layer_width_generator:
      type: uniform
      min: 1
      max: 3
    fan_out_generator:
      type: fixed
      value: 2
    fan_in_generator:
      type: fixed
      value: 2
    single_root: true

And a more complex example with skip connections:

Branching session graph with skip connections.

Where dotted edges (+i) indicate a skip connection of i layers. It was generated with the following configuration:

session_generator:
  type: synthetic
  session_graph:
    type: branching
    num_layers_generator:
      type: fixed
      value: 5
    layer_width_generator:
      type: fixed
      value: 2
    fan_out_generator:
      type: fixed
      value: 2
    fan_in_generator:
      type: fixed
      value: 1
    connection_dist_generator:
      type: fixed
      value: 2
    single_root: true

In theory, the branching generator can be used to generate both single-request and linear sessions, but in practice, using the dedicated generators for these cases requires less configuration.

Session generators

Three session generator types are available:

Synthetic (type: synthetic)

Generates sessions with random but controlled content. Combines:

  • A session graph generator (linear)

  • Channel generators for request content

Best for: Load testing with configurable workload characteristics.

Trace (type: trace)

Replays recorded conversation traces from JSONL files:

session_generator:
  type: trace
  trace_file: traces/timed_synthetic_trace.jsonl
  flavor:
    type: timed_synthetic_session
  wrap_mode: true

Supported trace flavors:

  • request_log: Independent requests with token lengths only

  • timed_synthetic_session: Timed session traces with synthetic content and context caching

  • untimed_content_multi_turn: Replay conversation datasets with actual message content

  • shared_prefix: Shared-prefix conversation traces

  • rag: RAG (Retrieval-Augmented Generation) traces

Best for: Realistic workload replay, production traffic analysis.

LM-Eval (type: lmeval)

Generates evaluation prompts from lm-eval-harness tasks:

session_generator:
  type: lmeval
  tasks: ["hellaswag", "truthfulqa_gen"]
  num_fewshot: 5

Best for: Model accuracy evaluation under load.

Request scheduling within sessions

When a session is scheduled, its requests don’t all dispatch immediately. The traffic scheduler respects the graph structure:

  1. Root nodes (no incoming edges) are immediately ready

  2. Dependent nodes wait for all parent nodes to complete

  3. After parents complete, wait_after_ready delay is observed

  4. Only then is the request marked ready for dispatch

This is handled by the ScheduledSessionState class which tracks:

  • Completed node IDs

  • Pending node IDs

  • Per-node completion times and history

The health checker verifies this timing with the “Intra-Session Request Arrival Check” that validates requests weren’t dispatched before their dependencies completed.